摘要 大口径望远镜的高分辨率成像观测技术是一项对天文学研究和空间目标探测都非常重要的技术,其中最核心的就是自适应光学。文章简要回顾了天文望远镜以及自适应光学技术的发展历程,围绕未来大口径望远镜发展需求,详细介绍了具有高空间分辨率特色的液晶自适应光学技术的发展历史及其现状。
关键词 大口径望远镜,液晶,自适应光学
1、引言
天文学的历史,就是人类探测宇宙的历史。古代天文学的产生是由于农牧业和实际生产生活的需要。在古代,天文非常重要。中国古代有一句话叫做“观象授时”,只有把星象的位置和它的运动规律精确地测定之后,才能把历法做得很准,老百姓根据政权颁布的历法指导自己的日常生活和农业生产。按照中国传统的宇宙观“天人合一”,一个政权要上应天时,受命于天。因此,历代政权都非常重视天文观测与历法。自人类诞生以来,从未停止过对星空的探索与想象。但在望远镜发明之前,人们所能观测到的星空极为有限。
人类天文观测的大突破与大变革起始于望远镜的发明和应用,距今已有400 余年历史。望远镜的发明,为人类探索星空的历史开启了崭新的一页。在这400 年间,探索深空的技术不断进步,从最开始的观测月球到现在能发现100 多亿光年外的星系,进展非常之大。天文观测与研究的目的也已经不只是满足生产和生活的需要,而是人类对自身及宇宙形成与发展的探索认知。因此,随着科学探索与研究的日益深入,对天文观测设备也提出了越来越高的要求。体现在天文望远镜这一核心的观测设备上最直观的变化就是——观测口径越来越大。为什么望远镜口径需要越做越大?依据光学原理,望远镜接收到的能量E 正比于其口径D的平方,因此其口径是望远镜聚光本领的重要指标;而衍射极限角分辨能力则与口径D成反比。所以,增大望远镜的口径D还可以极大提高系统的分辨能力。因此只有用大口径的望远镜,才能观测更暗、更弱的目标,获得高分辨率的成像能力。
2、望远镜的发展简介
世界上最早的天文望远镜是著名的意大利科学家伽利略发明的。1609 年他制造出了放大倍数达到32 倍的天文望远镜(图1),并用来观测了月球,这是人类历史上第一次用望远镜观测月球。这台天文望远镜的诞生,标志着人类开始了真正的日月星空之旅。

图1 伽利略发明的望远镜
1668 年,英国著名科学家牛顿在伽利略望远镜和开普勒望远镜的基础上,制作出了世界上第一架反射式望远镜(图2),将折射光线的凸透镜变成了反射光线的凹面镜,主镜尺寸更容易增大。1845 年,英国人罗斯伯爵威廉·帕森斯制造出了口径72 英寸(1.8 m)的望远镜:“列维亚森”(图3)。这架望远镜在建成后长达70 年的时间里都把持着世界第一的称号。直到1917 年,才有更大的望远镜打破这个记录。
图2 牛顿发明的望远镜


图4 宝瓶座ζ双星(角间距为2")在湍流影响下的星像变化
大气湍流扰动影响天文观测与成像,牛顿在其Optics 一书中就已提及。但是,当时没有有效的解决办法。牛顿本人也只是给出了一些规避性的办法:将望远镜放置于高山顶上,可以部分的减弱这种影响[2]。此后,所有天文观测站台在建设初期都要投入大量的时间和精力去寻找这样的山顶,力求使大气的干扰能尽量的小。
3、自适应光学技术的提出与发展
1953 年,Babcock 提出了实时补偿光学波前扰动的设想[3]。利用焦面上旋转的刀口切割星像,用摄像管探测刀口形成的望远镜光瞳像来得到光学波前的畸变信息。再将该信息反馈给一个电子枪,用电子轰击艾多福光阀上的一层带电油膜,使油膜改变局部斜率来补偿波前的位相畸变。1957 年,Vladimir P. Linnik 在苏联也独立地介绍了同样的概念[4]。他们提出的探测—控制—校正的动态波前畸变补偿方法正是自适应光学技术的最早雏形。但是,限于当时的技术条件,这一设想并未引起重视也没有真正的应用。
20 世纪70 年代,在美、苏两国寻求改善卫星成像质量和发展空间高能激光武器的带动下,军方开始大力支持研究自适应光学技术。美国Itek公司的Hardy 等人在美国国防部高级研究计划署(Advanced Research Project Agency) 的支持下于1973 年成功研制出了第一套自适应光学系统,当时称为实时大气补偿系统(real-time atmospheric compensation system,RTAC),充分证明了自适应光学技术的可行性[5]。在这些工作的基础上,第一套实用的自适应光学系统于1982 年安装在了位于夏威夷毛依岛哈雷阿卡拉天文台1.6 m口径监视望远镜上,用于改善卫星成像的质量[6,7]。由于这些研究工作在当时均被用于军事领域,因此一直处于严格的保密状态。
为了满足天文学家的需要,美国国家科学基金会于1992 年开始要求解密这些研究工作,这项解密工作一直持续到1994 年才完成。因此从20世纪80 年代后期起,这项新技术才开始逐步被用于建造更大的天文光学望远镜。美国于1993 年和1998 年分别建成两架口径均为10 m 的望远镜“KeckⅠ”和“KeckⅡ”。
各国的天文学家也在致力于以高分辨率天文观测为目的的研究工作。1989 年,法、德天文学家联合成功实现了自适应光学技术对天体目标的校正与成像,他们将研制的COME-ON自适应光学系统与法国上普罗旺斯(Haute Provence)天文台的1.52 m口径望远镜成功对接,实现了在2.2 μm波长处的衍射极限成像,并对Andromeda γ2 双星(角间距0.55″)进行了观测[8],观测结果如图5 所示。这套系统很快被转移安装到了位于智利的欧洲南方天文台3.6 m 口径新技术望远镜(NTT)上[9],后来发展成为第一台可供使用的自适应光学天文望远镜[10]。图6 所示就是利用这套自适应光学系统(ADONIS)对HD 216210 星(南鱼座,21PsA星)进行观测的结果[11]。
图5 COME-ON系统对Andromeda γ2双星的自适应校正成像
图6 ADONIS系统对HD 216210 星的自适应观测结果
此后近20 年是自适应光学技术飞速发展的时代。各国科研人员通过一系列的理论和实验工作确认了自适应光学技术在空间目标高分辨率观测中的重要地位,自适应光学技术在天文观测、人造卫星观测、空间激光传输等诸多领域的广泛应用取得了丰硕的成果,极大激发了人们的研究热情。几乎所有的大口径光学天文望远镜都采用了自适应光学技术。自适应光学系统已经逐步成为各大天文台所广泛使用的设备,并为下一代更大口径望远镜的建造开辟了道路。尤其是进入21 世纪以来,各国陆续推出了一系列口径达30—100 m的超大型天文望远镜研制计划,如TMT、ELT、GMT等,详见表1。面对全球如火如荼的超大口径望远镜研制浪潮,对自适应光学技术提出了越来越高的要求。自适应光学技术未来的发展也将紧跟天文望远镜的发展步伐,配合下一代超大口径望远镜的制造,解决将会面临的诸如:数万单元高密度波前校正器件与探测器件研制、超大数据量高速波前处理与重构、大视角高分辨率成像、高斯特列尔比观测、可见光波段衍射极限观测、大型系统集成等一系列问题。

表1 全球在研制的超大口径望远镜项目
4、液晶自适应光学的发展
在高校正单元密度和大校正量的波前校正器件中,液晶波前校正器是一种非常具有应用潜力的新型波前校正器件。
液晶是一种介于固体和液体之间的物质形态,既具有液体的流动性,又具有一般晶体的光学各向异性,于1888 年由奥地利植物学家埃尼采儿(F. Reinitzer)发现[12],距今已有一百多年的历史。它打破了人们对物质只有固、液、气三态的传统认识。20 世纪60 年代末,美国RCA公司的R.Williams和苏联的A. P. Kapustin发现了液晶在电场作用下的动态散射现象,并利用这种效应发明了液晶显示技术,使液晶在显示器件方面显现出光明的前景。其后,随着对液晶材料研究的不断深入,人们发现了更多液晶在电场作用下的干涉、散射、衍射、旋光、吸收等光学现象(即液晶的电光效应),它的许多全新用途也逐步被发现。液晶器件用于波前畸变校正,即是利用了其电场作用下的折射率调制特性。
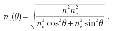
液晶分子通常呈棒状结构。平行于棒的方向和垂直于棒的方向分别被称为分子的长轴和短轴。如果光沿着长轴方向传播,不论其偏振矢量在长轴垂直面上位于哪个方向,显现的折射率都为寻常折射率no;而光波沿着短轴方向传播时,偏振方向不同折射率是各向异性的。当偏振方向沿着长轴方向时,显现的折射率为非常折射率ne(图7)。

图7 液晶的折射率各向异性
如果将液晶分子放入电场中,在电场的作用下液晶分子会发生转动,转动角θ的大小与施加的外场电压大小成正比(图8)。此时如果一束偏振方向与液晶分子长轴方向平行的线性偏振光入射到液晶层,则液晶对其显现的折射率nν(θ)可以用下式求得:


图8 液晶折射率的电场调控特性
在电场的作用下液晶分子的转动角度可以从0°变化到90°,因此折射率就可以从ne变化到no。通过控制施加到液晶层上的电场强度大小就可以实现对液晶层折射率的动态调节,最大调节幅度为液晶材料的双轴折射率差∆n=ne-no。
正是液晶材料的上述特性,使其具有用于光学波前校正的潜力。由于它是通过电控分子取向改变液晶介质层的折射率n 实现对波前的调制,因此没有宏观的机械运动,波前调制的精度和稳定性都更好。
液晶波前校正器的优点可归纳如下:
(1)空间分辨率高:由于液晶波前校正器的制备可以利用现有的液晶显示屏生产工艺,即成熟的大规模集成电路的制造技术,很容易制备数百万像素的校正器;
(2)校正量大:由于液晶校正器的像素尺寸小到4—8 μm,使得它可以通过二元光学的衍射效果来产生数微米到十几微米的大校正量;
(3)加工周期短:利用现有的液晶屏生产工艺,且对变形精度要求不像变形镜那么高,加工周期约1周,而变形镜的加工周期则需要用年来计算;
(4)体积小重量轻:便于系统的小型化、集成化和便携化,很容易匹配各种口径的望远镜;
(5)无机械运动:其工作原理是通过电场控制液晶分子的转动来实现波前校正,没有宏观的机械运动和弹性形变,因此,没有像变形镜等的形变不稳定性、复位精度以及老化问题;
(6)驱动电压低:通常驱动电压不会超过10 V,能耗非常小。
以上优势使得液晶波前校正器具有很好的应用前景。自20 世纪70 年代以来,国内外的很多科研机构都投入到了液晶波前校正器的研究中来。1977 年,I. N. Kompanets 指出可以利用液晶波前校正器对光束进行特定的形貌调制[13]。1981年,S. T. Kowel 等人利用平行排列的液晶盒尝试制作了自适应调节焦距的平凸型柱面透镜[14]。1984 年他们又利用两个前后正交组合的液晶盒,产生两个正交排列的柱面透镜,实现了球形透镜的聚焦效果[15]。1986 年,A. A. Vasilev 等人制出具有16 个校正单元的液晶波前校正器,对光学波前进行了一维校正[16]。1989 年他们又利用1296 像素的光寻址液晶校正器实现了对光束的自适应整形[17],如图9 所示。整形前光斑的强度分布如图9(b)所示,在给液晶施加图9(a)所示的光驱动信号后,光斑的强度分布变成了图9(c)所示的环形分布,整形效果很明显。
图9 利用液晶空间光调制器实现自适应的光束整形
此后,液晶波前校正器用于自适应光学技术的探讨与研究越来越热。20 世纪90 年代,美国、德国、澳大利亚、意大利等国的天文界学者组织开展了一项研制大双筒望远镜(Large BinocularTelescope,LBT)的哥伦布计划。该望远镜由两台架设在同一机架上口径8.4 m的望远镜组成,等效口径11.8 m。为了解决传统变形镜在尺寸增大时加工难、费用高的问题。D. Bonaccini 等人探讨了液晶波前校正器在大口径望远镜上应用的可能性[18,19]。他们研究了液晶材料的色散特性、响应时间特性、透过率光谱以及校正量、校正单元数等问题,制作了只有4个校正单元的简易液晶校正器,在ZYGO干涉仪上检测了位相调制效果。1995 年Dou Rensheng 等人首次利用一款Epson 的液晶电视屏对光学波前进行了闭环自适应校正[20],利用该液晶电视屏中央的128×128 像素对插入的位相板进行校正,校正前后的点扩散函数分布如图10 所示。可见校正效果非常好,校正后基本达到了系统的衍射极限分辨。虽然该液晶屏是扭曲型排列,且响应时间长达30 ms,还不能达到实时校正的要求,但已经可以证明液晶用于波前校正的可行性。

图10 液晶电视屏对位相板校正前后的点扩散函数分布
此后,来自美国[21—27]、欧洲[28—32]和日本[33]的许多研究单位都相继开始了液晶波前校正器的自适应光学系统研究。尤为突出的进展就是2002 年由美国应用技术协会与空军实验室采用基于液晶波前校正器的自适应光学系统对亮天体目标和卫星的观测实验[34]。所用的液晶校正器只有91 单元,图11 中所示即为利用这套系统对国际空间站进行的实时观测结果。左图为校正前的国际空间站图像,右图为校正后的图像,其效果充分展示了液晶波前校正器的应用前景。
图11 液晶自适应光学系统对国际空间站的校正观测结果
随着对液晶波前校正器研究的深入,其应用也扩展到了大气湍流校正外的领域,诸如:人眼视网膜成像[35—38]、光束控制[39—43]、光学检测[44]、红外场景发生器[45]、光学镊子[46—48]、动态衍射光学元件[49—52]、可调谐光子晶体光纤[53,54]、湍流模拟[55,56]、自由空间光通讯[57,58]等其他领域,充分展示了液晶器件的独特魅力和应用潜力。
国内关于液晶波前校正器及其自适应光学应用的研究起步较晚。最早可以追溯到1992 年冯大增等人报道的利用液晶光阀器件作为位相调制器实现二元联合变换相关器[59]。1994 年,杨妹清翻译介绍了国外液晶空间光调制器尤其是铁电液晶空间光调制器的研究及其在光信息处理上的应用[60]。1999 年,北京理工大学阎吉祥介绍了液晶空间光调制器用于自适应光学技术的可行性[61],但是实验性报道却是在2005 年[62]。他们利用扭曲型液晶显示器进行了静态波前的校正实验,尽管该器件的校正量很小,约0.4 π,但仍取得了一定校正效果。波前畸变的峰谷(PV)和均方根(RMS)值分别为0.308 λ和0.062 λ,校正后减少到0.254 λ和0.036λ (λ=632.8 nm,表示波长)。
中国科学院长春光学精密机械与物理研究所从2000 年开始系统研究液晶波前校正器及其在自适应光学系统中的应用研究。凭借着对液晶材料及液晶显示技术的研究基础,很快掌握了液晶波前校正器的波前调制机理与驱动控制方法,自行加工研制了TFT透射式纯位相液晶波前校正器件。该器件的像元尺寸为100 μm×300 μm,在1 cm2的有效校正区域内像元数达到3072 个。利用ZYGO 干涉仪测量获得了静态校正精度PV 值和RMS值分别为0.098 λ和0.017 λ (λ=632.8 nm)[63—65]。此后,又引进具有更高像素密度的基于硅基液晶技术(liquid crystal on silicon,LCOS)的液晶波前校正器,深入研究和掌握了液晶波前校正器的位相调制特性[66,67]、色散特性[68]、温度与光强承受特性[69—71]、位相调制的线性化处理[72]等诸多关键技术。
针对液晶波前校正器的响应速度慢、偏振依赖及色散造成工作波段窄等核心技术问题进行研究。在液晶波前校正器高速、高精度驱动控制,液晶自适应光学系统设计,哈特曼波前探测器设计与探测优化方面做出了多项创新研究成果。从根本上解决了液晶自适应光学系统校正速度慢、能量利用率低的问题,实现了液晶自适应光学成像技术在可见光波段的真正实用化和工程化。先后成功研制了多套与我国2.16 m 口径天文望远镜、1.23 m口径望远镜及国家2 m光电跟踪望远镜匹配的液晶自适应光学系统,取得了显著的观测效果。
针对液晶波前校正器响应速度慢的问题,我们分别从快速响应液晶材料、液晶器件的封装技术、液晶校正器的快速驱动等方面入手, 将700—950 nm 工作波段的液晶校正器响应时间缩短到0.65 ms,达到了实用化水平。
针对光能量损失问题,我们提出了一种基于开环控制策略的自适应光学系统设计方法,利用波段分光与偏振分束将系统的光能利用范围拓展到了400—950 nm 的整个可见光波段。解决了由于液晶校正器偏振依赖和色散导致的系统能量利用率低的问题。
液晶校正器通常只能对偏振光进行调制且存在一定的折射率色散。为了避免上述限制带来的光能量利用率低的问题,我们提出了采用波段分光结合偏振分束的双校正器并行校正的开环控制光学系统设计。波前探测与波前校正分路并行,将色散较强的400—700 nm 波段用于波前探测,将液晶色散较小的700—950 nm 波段的光束经PBS分解为P、S两束线偏振光、进入液晶校正器分别校正,经校正后的两束偏振光返回到PBS合束,进入相机成像。实现对宽波段能量的有效、充分利用,显著提高了系统的光能利用效率,达到了工程化应用的可能。该成果于2008 年被国际著名光学期刊Applied Optics 作为期刊封面文章报道。且在次年即被英国Bradford 大学视光学与视觉科学学院院长Edward A. H. Mallen 教授作为“开环控制系统在天文领域成功应用的标志”引用,并指出其在应用方面的独特优势。
在开环控制下液晶波前校正器必须具有高的响应速度和到位精度,以确保在单次校正下系统的校正精度。为此,针对液晶波前校正器的高速、高精度控制技术开展了如下几项创新性研究工作。
(1)将phase wrapping 技术应用到液晶波前校正中,大幅提升了器件的波前校正能力和响应速度。
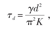
液晶校正器的波前位相校正利用电控双折射效应实现,器件的调制量由液晶材料的双折射率Δn 和液晶层厚度d 的乘积Δn×d 决定,通常要达到至少2—3 μm才能满足校正大气湍流的需求。传统的液晶材料Δn 只有约0.2 μm,这就使得器件的厚度要达到10 μm以上。
液晶器件的响应时间可表示为
公式中γ为液晶的粘滞系数,K为液晶弹性常数,d为液晶层厚度。由此可见,d 的增加会显著降低液晶校正器的响应速度,导致无法应对湍流的高速变化。
将传统二元光学领域的phase wrapping 技术引入到对波前的校正中,充分利用液晶器件高像素密度的优势,可将器件的调制量要求由2—3 μm减小到只需要达到中心波长处的1 λ即可,如图12 所示。以实际使用的0.78 μm中心波长器件为例,对于2 μm调制量需求,采用phase wrapping 技术可以使盒厚下降为原来的39%,器件的响应速度可提升6倍以上。

图12 phase wrapping 技术示意图
(2)提出了过渡灰度级驱动技术和盒厚优化设计方法,解决了液晶响应拖尾问题和灰阶响应一致性问题,实现了波前校正器的高速、高精度、一致化驱动,使高精度的实时波前校正成为可能。
首先,液晶材料在电场驱动下的动态响应存在拖尾现象,因此在传统的显示领域均采用透过率变化10%—90%区间作为响应时间,如图13 所示。然而对于进行波前校正的位相调制来说,这会人为的引入0.1 λ的位相误差,导致波前校正的精度下降。

图13 液晶在电场驱动下的透过率响应曲线
其次,在波前校正中,校正器不同位置需要施加的电压是不同的,而液晶在不同驱动电压下的响应时间有很大的变化,这就会导致同一个波前上不同位置相位的到位时间不一致,进而影响波前的复现精度。
为了解决上述两方面的问题,提出通过适当增加液晶校正器的调制量,利用初始端和末端的超过1 λ部分的灰度级作为过渡区,来实现“数字式过压驱动”的控制方法。
在液晶器件进行灰度级转换时,通过施加高于或低于目标灰度级的过渡灰度级,加快液晶分子的到位速度,当液晶分子到位时再施加上目标灰度级实现稳定控制,以确保液晶分子的快速、准确到位,如图14 所示。对液晶分子的动态特性仿真分析表明,这种方法只需将液晶校正器调制量由1 λ扩展到1.2 λ,即可实现灰阶间的一致响应,且可使液晶器件的响应速度提升30%以上。

图14 过压驱动与传统驱动比较
利用这种方法,只需要控制好液晶器件的盒厚,即可通过控制软件的简单修改实现高精度、高速驱动控制,而不需要对液晶校正器硬件结构和驱动电路做任何修改。图15 所示即为采用该过压驱动技术前后液晶不同灰阶间响应时间的分布变化。经过驱动优化后各灰阶间的响应时间完全趋于一致。

图15 过渡灰度修正前后液晶灰阶响应时间分布图
上述技术不仅有效解决了液晶校正器在传统驱动方式下存在的响应拖尾问题和灰阶响应一致性问题,而且还可以进一步提升液晶器件的响应速度,使700—950 nm 工作波段的液晶校正器响应时间由1 ms 缩短到0.65 ms,达到国际领先水平,满足工程化应用的需求。
(3)在国际上首次提出了并行时序控制新方法,使系统校正速度相对传统串行控制提高约20%,提高了系统的校正能力和稳定性。
结合开环自适应系统的特殊结构及其工作特点,优化了系统的控制时序设计,改变了传统的串行式时序控制模式,提出了探测与校正并行、同步控制的理念,通过优化时间分配与时序匹配,可以实现系统校正刷新频率的最优化,提高系统的校正速度和校正能力,如图16所示。

图16 闭环控制与开环控制时序图。其中t1、t2、t3、t4、t5分别为探测器的曝光、读出、波前处理、数据传输及液晶器件响应时间
依托上述技术进步,液晶自适应光学系统的能量利用率从5%提高到了85%,系统误差抑制-3 dB 带宽从5 Hz 提升到80 Hz。基于上述技术,我们先后研制了多套与1.23 m、2 m、2.16 m口径望远镜匹配的液晶自适应光学系统,并针对天文目标与人造卫星目标开展了观测实验。图17为与1.23 m口径望远镜匹配的液晶自适应光学系统,图18 为利用该自适应光学系统对α Com双星的观测校正效果,取得了校正分辨率0.18″的观测效果,达到了望远镜的衍射极限水平。

图17 液晶自适应光学系统

图18 α Com双星观测结果
十余年的研究,在液晶器件设计与研制、自适应光学技术等方面积累了深厚的研究基础。形成了从材料设计与合成、器件设计与研制到系统开发与应用的全链条研究 布局,建成了国内一流的液晶光学器件研制技术平台,为开展前沿技术研究奠定了坚实的基础。
5、总结与展望
基于液晶波前校正器的自适应光学新技术对大口径望远镜的高分辨率成像观测具有重要价值。经过近十余年的技术发展,我们系统解决了液晶波前校正器件应用中面临的能量利用率问题及速度问题,创新性地提出了基于开环策略的液晶自适应光学校正模式,成功实现了这项技术的工程化应用。同时,该项技术还可以进一步拓展应用到包括光通信、生物医学成像及激光光束整形等研究领域。此外,在液晶材料与器件方面取得的研究成果,也为液晶器件应用于其他光场调控领域奠定了基础。
作者:穆全全1,2 彭增辉1,2 宣丽1,2
(1 中国科学院长春光学精密机械与物理研究所)
(2 中国科学院大学材料与光电研究中心)
参考文献
[1] MacRobert A M. Sky and Telescope,1995,89:40
[2] Newton I. Optics. in Great Books of the Western World (R. M. Hutchins,ed.),Vol. 34,Chicago:Encyclopedia of Brittanica,1952
[3] Babcock HW. Publ. Astrron. Soc. PAC.,1953,65:229
[4] Linnik V P. Opt. Spectrosc.,1957,3:401
[5] Hardy J W,Lefebvre J E,Koliopoulos C L. J. Opt. Soc. Am.,1977,67:360
[6] Hardy J W,Lefebvre J E,Koliopoulos C L. J. Opt. Soc. Am.,1977,67:60
[7] Benedict R J,Breckinridge J B,Fried D. J. Opt. Soc. Am. A,1994,11:257
[8] Rousset G,Fontanella J C,Kern P et al. Astron. Astrophys.,1989,230:L29
[9] Rigaut F,RoussetG,Kern Pet al. Astron Astrophys.,1991,250:280.
[10] Beuzit J L,Hubin N,Gendron E et al. SPIE,1994,2201:955
[11] Bonaccini D,Prieto E,Corporon P et al. SPIE,1997,3126:589
[12] Reinitzer F. Monatsh. Chemie,1888,9:421
[13] Kompanets I N. Zarubezh. Radioelektron,1977,4:46
[14] Kowel S T,Cleverly D S. A Liquid Crystal Adaptive Lens. In Proceedings,NASA Conference on Optical Information Processing for Aerospace Applications,1981
[15] Kowel S T,Kornreich P,Nouhi A. Applied Optics,1984,23,(16):2774.
[16] Vasil'ev A A,Naumov A F,Shmal’gauzen V I. Sov. J. Quantum Electron.,1986,16:471
[17] Vasil'ev A A,Vorontsov M A,Koryabin A V et al. Sov. J. Quantum Electron.,1989,19:395
[18] Bonaccini D,Brusa G,Esposito S et al. SPIE,1990,1334:89
[19] Bonaccini D,Brusa G,Esposito S et al. SPIE,1991,1543:133
[20] Dou R S,Giles M K. Optics Letters,1995,20:1583
[21] Restaino S R. SPIE,1994,2200:46
[22] Restaino S R,Martinez T,Andrews J R et al. SPIE,2002,4825:41
[23] Mitchell P V. Innovative adaptive optics using liquid crystal light valve. Optical Society of America,1992
[24] Love G D,Fender J S,Restaino S R. Opt. Phot. News,1995,6:16
[25] Love G D,Major J V,Purvis A. Optics Letters,1994,19:1170
[26] Kudryashov A V,Gonglewski J,Browne S et al. Opt. Comm.,1997,141:247
[27] Dayton D C,Browne S L,Sandven S P et al. App. Opt.,1998,37:5579
[28] Kelly T L,Love G D. App. Opt.,1999,38:1986
[29] BoldGT,Barnes TH,Gourlay J et al. Opt. Comm.,1998,148:323
[30] Gourlay J,Love G D,Birch PM et al. Opt. Comm.,1997,137:17
[31] Bonaccini D et al. SPIE,1993,2000:96
[32] Dorezyuk V A,Naumov A F,Shmalgauzen V I. Sov. Phys. Tech. Phys.,1989,34:1384
[33] KlausWet al. SPIE,1999,3635:66
[34] Dayton D,Gonglewski J,Restaino S et al. Optics Express,2002,10:1508
[35] Martin FV,Prieto PM,Artal P. J. Opt. Soc.Am.A,1998,15:2552
[36] Awwal A,Bauman B,Gavel D et al. SPIE,2003,5169:104
[37] QuanW,Wang Z,Mu G et al. Optik,2003,114:1
[38] Cho K C,Lin C H,Chen S J. SPIE,2007,6426:64261X.1
[39] Wang X,Wilson D,Muller R et al. Applied Optics,2000,39:6545
[40] Serati S,Stockley J. IEEE Aerospace Conference,2002
[41] Stockley J,Serati S. SPIE,2004,5550:32
[42] Tabiryan N V,Nersisyan S R. Applied Physics Letters,2004,84:5145
[43] Serati S,Stockley J. SPIE,2005,5894:58940K.1
[44] Cao Z,Xuan L,Hu L et al. Optics Express,2005,13:1059
[45] Ewing T K,FolksWR. SPIE,2005,5785:36
[46] Reicherter M,Haist T,Wagemann E U et al. Optics Letters,1999,24:608
[47] Hossack W,Theofanidou E,Crain J et al. Optics Express,2003,11:2053
[48] Quesada C L,Andilla J,Badosa E M. Applied Optics,2009,48:1084
[49] Krueger S,Wernicke G,Gruber H et al. SPIE,2001,4294:84
[50]Wernicke G,Kruger S,Gruber H et al. SPIE,2001,4596:182
[51] Ambs P,Bigue L,Hueber E. SPIE,2004,5518:92
[52] Moreno I,Marquez A,Nicolas J et al. SPIE,2004,5456:186
[53] Chigrinov V G. SPIE,2003,5003:130
[54] Scolari L,Alkeskjold T T,Riishede J et al. Optics Express,2005,13:7483
[55] Schmidt JD,GodaME,Duncan B D. SPIE,2007,6711:67110M.1
[56] Hu L,Xuan L,Cao Z et al. Optics Express,2006,14:11911
[57] HirabayashiK,Yamamoto T,Yamaguchi M.Applied Optics,1995,34:2571
[58] Lin Y H,Mahajan M,Taber D et al. SPIE,2005,5892:58920C.1
[59] 冯大增,赵焕卿,夏绍丰. 光学学报,1992,12(9):43
[60] 杨妹清. 光机电世界,1994,11(4):15
[61] 阎吉祥. 光学技术,1999,(2):23
[62] 王治华,俞信.光学技术,2005,31:196
[63] 刘永军,宣丽,胡立发等. 光学学报,2005,25:1682
[64] Hu L,Xuan L,Liu Y et al. Optics Express,2004,12:6403
[65] 刘永军,胡立发,曹召良等. 光学学报,2006,26:527
[66] 刘永军. 胡立发,曹召良等. 光子学报,2005,34:1799
[67] 穆全全,刘永军,胡立发等. 物理学报,2006,55:1055
[68] 李大禹,穆全全,胡立发等. 光子学报,2007,36:1065
[69] 曹召良,穆全全,胡立发等. 光子学报,2008,37:2043
[70] Cao Z,Xuan L,Hu L et al. Opt. Comm.,2006,267:69
[71] Cao Z,Mu Q,Hu L et al. J. Opt. A: Pure Appl. Opt.,2007,9:427
[72] 曹召良,穆全全,胡立发等. 液晶与显示,2008,23:157
来源:
中国物理学会期刊网
原文链接:
免责申明:
网站内容来源于互联网,由网络编辑负责审查,目的在于传递信息,提供专业服务,不代表本网站平台赞同其观点和对其真实性负责。如因内容、版权问题存在异议的,请与我们取得联系,我们将协调给予处理(按照法规支付稿费或删除),联系方式:ahos@aiofm.ac.cn 。网站平台将加强监控与审核,一旦发现违反规定的内容,按国家法规处理,处理时间不超过24小时。