安徽省光学学会

2025年11月01日 星期六

行业动态

海洋激光雷达:助力构建未来全球海洋三维观测体系

文章来源:遥感学报作者:徐沛拓,刘东发布时间:2020-03-31

主题词

海洋遥感,海洋激光雷达,蒙特卡洛(MC)仿真,海水光学特性,衰减系数


    海洋与地球的生态环境和气候气象密切相关,对人类的生产生活至关重要。被动水色遥感作为一种成熟的海洋探测手段,在全球海洋环境监测中发挥重要作用。而海洋激光雷达是一种主动遥感设备,在白天和夜晚均可探测海面以下数十米范围内的海水光学参数,探测区域可覆盖包括极地在内的全球海域。这些优势使得海洋激光雷达成为构建未来全球海洋立体观测体系的重要组成部分。

    浙江大学刘东教授团队近期发表论文《Lidar Remote Sensing of Seawater Optical Properties: Experiment and Monte Carlo Simulation》,研制了一套用于探测海水光学特性的船载海洋激光雷达系统,并将实测数据与半解析蒙特卡罗仿真得到的数据进行综合对比,结果十分吻合,表明所研制的激光雷达系统的可靠性。


    论文标题

    Lidar Remote Sensing of Seawater Optical Properties: Experiment and Monte Carlo Simulation

    发表期刊

    IEEE Transactions on Geoscience and Remote Sensing (Volume: 57,Issue: 11,Nov.2019)

    DOI10.1109/TGRS.2019.2926891

    论文全文链接

    https://ieeexplore.ieee.org/document/8790744 

    研究背景和意义

图1  激光在海水中的多次散射

    (图片源自“徐沛拓,刘东,周雨迪,刘群,白剑,刘志鹏,吴兰,沈亦兵,刘崇.2020.海洋激光雷达多次散射回波信号建模与分析.遥感学报,24(2): 142-148)

    海洋激光雷达是一种主动遥感设备,在白天和夜晚均可探测海面以下数十米范围内的海水光学参数,探测区域可覆盖包括极地在内的全球海域,这些优势使得海洋激光雷达正逐渐成为构建海洋立体观测网络的重要组成部分。然而,激光自发射到接收,在海水中经历了吸收和散射,由于传播过程和海水成分的复杂性,海洋激光雷达的正反演理论并不简单,精度验证则是海洋激光雷达的重要任务之一。

    研究方法


图2  研制的海洋激光雷达系统结构示意图

(图片源自“刘志鹏,刘东,徐沛拓,吴兰,周雨迪,韩冰,刘群,宋庆君,毛志华,张与鹏,崔晓宇, 陈鹏.2019. 海洋激光雷达反演水体光学参数.遥感学报, 23(5): 944-951)

    浙江大学研制了一套海洋激光雷达,于2017年8月搭乘海力号科考船在黄东海进行了海试,实验获得了大量的固定站点数据和走航数据。通过海洋激光雷达方程,可反演得到激光雷达衰减系数α。在固定站点观测时,有同步进行观测的原位仪器,包括 ac-9 吸收衰减仪、CTD温盐深剖面仪,以及 HS6P 后向散射测量仪,用于测量水体的固有光学参数。

图3 海洋激光雷达黄海实验图

    以概率和统计理论方法为基础的蒙特卡洛(MC)方法常被用于模拟最接近实际的物理过程,由于在仿真过程采用了极少的假设,MC仿真可以得到高精度的激光雷达回波信号。为了提高仿真效率,半解析MC方法将仿真的光子视为一个巨大的光子包,存在一个统计期望值,使得每次散射时均有部分光子满足接收条件参与形成激光雷达信号,大大提高了计算效率。

    研究结果

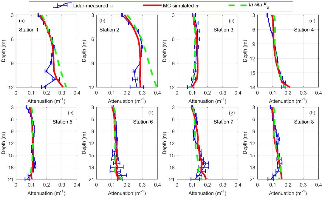
    将激光雷达仪器实测的数据与半解析MC仿真的数据进行对比,从激光雷达回波信号、激光雷达衰减系数α两个层面进行了分析。从激光雷达衰减系数α的对比中结果中可以看到,两者具有很好的一致性,相关系数r=0.95。在引入半解析MC仿真之前,激光在海水中的衰减往往近似采用漫射衰减系数Kd,与α的相关系数r=0.91。这表明半解析MC仿真具有很高的准确度,可在海洋激光雷达信号模拟以及实验数据校验中发挥重要作用。

    此外,还特别研究了不同视场角下激光雷达衰减系数α的变化,实测结果与MC仿真高度一致(r=0.96)。原位仪器数据为上述海洋激光雷达的仿真和反演提供了重要的原始数据,MC仿真能够真实地模拟激光在海水中的传输过程,在各类海水情况下均有很高的仿真准确度,对比结果也表明了激光雷达系统遥感探测海水光学特性的可行性。


图4 (a)-(h)对应实验站点1-8的衰减系数(带误差线的蓝色实线表示由激光雷达实测信号反演得到的α,红色实线表示MC仿真信号反演得到的α,绿色虚线表示由原位仪器数据推算的漫射衰减系数Kd)

    更多信息,详见原文

    第一作者


    刘东,浙江大学教授,研究方向为生态环境激光雷达(包括大气、海洋及星载)、机器视觉与机器学习、光电干涉检测等。

    E-mail:liudongopt@zju.edu.cn

    个人主页:https://person.zju.edu.cn/liudong

    团队介绍

    浙江大学光电检测与遥感研究团队包括“光电检测”和“激光雷达”两大研究方向。

    光电检测研究方向,立足光电干涉精密检测,结合机器视觉技术,大力发展基于机器学习的智能检测技术及系统,主攻非球面/自由曲面等面形及波前高精度通用化检测、光学元件微观缺陷(包括表面/亚表面/体缺陷等)高精度数字化检测等难题。

    激光雷达研究方向,以高光谱分辨率激光雷达(HSRL)为研究特色,以视场展宽迈克尔逊干涉仪(FWMI)鉴频器为技术核心,围绕大气及海洋等环境探测中的颗粒物遥感开展研究,进而解决生态环境及气候气象等相关领域的科学问题。


原文链接:海洋激光雷达:助力构建未来全球海洋三维观测体系


免责声明:

网站内容来源于互联网,由网络编辑负责审查,目的在于传递信息,提供专业服务,不代表本网站平台赞同其观点和对其真实性负责。如因内容、版权问题存在异议的,请与我们取得联系,我们将协调给予处理(按照法规支付稿费或删除),系方式:ahos@aiofm.ac.cn 。网站平台将加强监控与审核,一旦发现违反规定的内容,按国家法规处理,处理时间不超过24小时。


文章来源:遥感学报公众号